@Pradella o meu pedido também chegou dia 28/11/25 pela manhã e até agora não recebi nada mas irei aguardar como o @ecoutinho falou, vai dar tudo certo!
@viniciusvidas, não entendo por que os processos de filhos aparecem completamente estagnados desde o início do ano... sendo que é o processo mais simples e rápido, porque requer menos burocracia e menos consultas, bastando a comprovação de laço sanguíneo direto e documentos devidamente autenticados antes da entrega.
Na planinha aqui do fórum tem havido alguns poucos casos do artigo 1.C pela CRC, mas não chegam a 100 e alguns têm cerca de 1 ano e meio, então fica entender se avaliam ou não, ou o que se está a passar para essa estaganção.
Apos analisar essa tabela de Lisboa, os processos nº6.1 liguei para perceber poque os processos recuaram, ou seja, passaram de:
para :
Gente recuou 1 anoooooooooooooo, ela disse que como os de Lisboa estavam muito avençados eles vão ajudar os de Amadora, por isso todos os outros vao ter que esperar eles analisarem desde FEVEREIRO DE 2022 ate marco de 2023.
estou completamente angustiada com esta situação ... tendo em conta que possivelmente podemos esperar mais um ano
Se olhar bem a tabela, o Artigo 6º nº 1 maiores andou de março de 23 (planilha de outubro/25) para dezembro de 23 (planilha de novembro/25), ou seja, em 1 mês, progrediu quase 8 meses (março/23 a dez/23)
Eles incluíram mais uma linha na planilha com os redistribuídos da CRC Amadora.
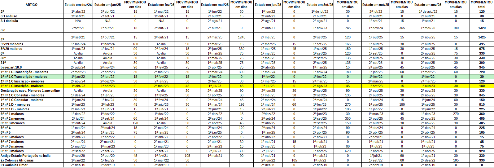
Fiz uma planilha considerando todas tabelas que encontrei aqui no fórum, desde dezembro de 2024 até novembro de 2025. Alguns artigos progrediram muito mais que outros como podem ver.
Acredito que em algum momento, os artigos que estão "parados na análise" podem dar um salto no tempo.
Obrigado @viniciusvidas para o gráfico. Conforme o processo para o visto 1C via Consular (Maiores), meu pedido, submetido em março de 2025, será analisado em agosto ou setembro de 2026.😥
Eu diria que estas tabelas são atualizadas sem qualquer periodicidade padrão. Atualizam-se os dados quando dá na telha e, com isso, às vezes parece que há estagnação, às vezes parece que há um salto repentino.
De toda a incompetência que conhecemos do Estado Português em relação à gestão dos processos de cidadania, a que mais me espanha, disparado, é a inexistência de um sistema INFORMATIZADO que gere estes dados. Ora, se (como tão propalado pelo governo) houve a informatização dos processos; se agora os assentos são emitidos eletronicamente (finalmente, convenhamos), com mais meia-dúzia de linhas de código é possível exportar as informações atualizadas sobre que data está sendo decidida para cada uma das vias de solicitação de cidadania. Era possível ter até mesmo um placar ao vivo e, indo mais longe, uma estimativa, quando se consulta seu próprio processo, de tempo para a conclusão, considerando a média de andamento dos últimos meses e a quantidade de processos que faltam ser analisados para chegar ao da pessoa.
Sim bruno, tens razão . Nem reparei que meteram 2 tabelas com o mesmo artigo..
ainda assim é ridiculo dizerem que ja estão em dezembro de 2023 ( porque acredito que metade dessas processos não estão finalizados) o meu por exemplo é de 02/2023 e ainda não foi concluido!!! Disseram para aguardar mais um tempo.. quase a dar 3 anos
Pessoal, minha mãe fez o pedido da minha irmã na CRC Lisboa no dia 13/11/2025 (artigo 6.2), e de acordo com a tabela apresentada pelo @viniciusvidas , estão a ser analisados processos da 2 quinzena de novembro de 2025, é normal isso acontecer? como devo proceder? envio um email a perguntar o pq do processo não está em analise?
@fabiojunior chego a conclusão que o @andrelas tem razão, essas tabelas ai.. é só coisa para iludir o povo, elas não estão totalmente certas.. como é possível eles em 1 mês analisaram 8 meses de processo..
nas tabelas do @BrunoPegorelli da para perceber que antigamente os processos quase nem andavam, agora estão muito rápido, mas nao estão a ficar concluídos. o exemplo é o @hajapaciencia que era um processo de dezembro de 2022 e so o mês passado ficou concluído. o meu é de fevereiro de 2023 ainda nao esta ... e nem tem previsão, e visto que ja passaram por ele agora nao tenho como acompanhar o estado dele.. enfim. vamos aguardar pacientemente
fora que conheço este processo de um amigo, que meteu na amadora e ja recebeu, apesar de constar que o processo finalizou em Agosto de 2025 ele recebeu o documento em Abril ... eles é que depois alteram as datas.. tb fizeram isso no meu. então so prova que essas tabelas deles não estão totalmente certa..
É o que venho dizendo. Pessoal leva muito a sério essas tabelas das conservatórias. Por exemplo que os processos de união de facto estão andando mais rápido que os de casamento. O meu é artigo 3.3 e consta como análise concluída e para decisão desde setembro. Teve processos submetidos depois do meu que já foram concluídos por algum motivo. Não é o meu caso. Não necessariamente eles estão finalizando rapidamente os processos. Não dá nem pra confiar se de fato a análise foi finalizada.
@Rodrigo_Miranda concordo. O meu pedido é pelo artigo 1.C maior desde o ano passado em Lisboa. Entreguei tudo pronto e organizado e o atendimento durou menos de 10 minutos. A pessoa que atendeu-me ainda verificou cada documento, a autenticidade e os laços sanguíneos no sistema antes de submeter o processo. Recebi a senha na hora. Já vi alguns casos de processos pelo mesmo artigo que entraram na mesma semana que eu e já concluíram, vi um caso que entrou 1 mês depois e outros que entraram meses antes e já concluíram. Mas também vejo casos de pessoas à espera desde 2023...
É triste mas a verdade é que desde que deixaram de analisar por grupos para cada artigo, e decidiram juntar todos os processos numa suposta ordem de chegada enviando os processos de maneira aleatória para os conservadores, essas tabelas deixaram de fazer sentido, porque a ordem de chegada cai por terra quando conservadores têm ritmos diferentes para analisar, ou processos que demorariam menos tempo para analisar ficam presos porque a frente existem 100 pedidos que dependem de analises externas e essas mesmas analises demoram uma eternidade.
Por exemplo: de 2 processos que entrariam dia 10 de setembro de 2023. Por causa do atual procedimento, 1 processo é capaz de terminar em setembro de 2024 e o outro processo do mesmo dia termina em setembro de 2025, independentemente do artigo. Além de ineficiente e injusto, torna essas tabelas de análises mensais completamente inúteis e sem sentido porque entra em contradição com o atual procedimento de análise.
Desordem e falta de vontade política para organizar as instituições são a causa desses atrasos todos. A anos que está assim e não querem saber.
Boa noite. Solicito um esclarecimento. Fiz meu processo por inscrição em um cartório aqui em Portugal que foi enviado para Lisboa em Outubro 23. Meu caso é um Artigo 1, Número 1, Alínea C (Inscrição) e pelo andamento da tabela foi analisado em novembro. Até agora não recebi nada. Sabe quanto tempo eles demoram a enviar algum comunicado?
Nao entendon pq um processo que entrou 3 dias antes do meu como exemplo da Lucia que entrou dia 10/10/2025 e foi concluido em 05/08/2025 e o meu entrou dia 13/10/2025 e nem em analise esta, isso è uma falta de competencia deles e eu na vdd ja nao sei mas oque fazer sao tantos anos esperando meu avô que è o portugues ja ate faleceu e quando entramos com o processo ele estava vivo eu realmente nao sei oque fazer e nao entendo como pode ser tao burocratico
Eu também acredito que as tabelas não são precisas, porém servem como referência, principalmente nos processos via consular. No meu caso e no de muitos que fizeram via Consulado, infelizmente são a única fonte de informação, pois não recebemos senha para acompanhar o andamento do processo.
@MiraiAx também não entendo o motivo da estagnação nesse caso. Realmente é um processo simples, não deveria ter essa morosidade. Falta transparência sobre os critérios de análise.
@D_Carreiro espero que seja antes, porém se continuar nesse ritmo, será por aí mesmo. Acredito que o meu processo será analisado em 19 ou 20 meses, após ser recebido em Lisboa. Chegou em julho de 2024 e provavelmente será analisado em fevereiro ou março de 2026.
Comentários
@Pradella o meu pedido também chegou dia 28/11/25 pela manhã e até agora não recebi nada mas irei aguardar como o @ecoutinho falou, vai dar tudo certo!
Tabela completa do estado de serviço referente ao mês de novembro de 2025 - CRC Lisboa.
@viniciusvidas, não entendo por que os processos de filhos aparecem completamente estagnados desde o início do ano... sendo que é o processo mais simples e rápido, porque requer menos burocracia e menos consultas, bastando a comprovação de laço sanguíneo direto e documentos devidamente autenticados antes da entrega.
Na planinha aqui do fórum tem havido alguns poucos casos do artigo 1.C pela CRC, mas não chegam a 100 e alguns têm cerca de 1 ano e meio, então fica entender se avaliam ou não, ou o que se está a passar para essa estaganção.
ACABEI DE LIGAR PARA ELES --- CRC LISBOA
Apos analisar essa tabela de Lisboa, os processos nº6.1 liguei para perceber poque os processos recuaram, ou seja, passaram de:
para :
Gente recuou 1 anoooooooooooooo, ela disse que como os de Lisboa estavam muito avençados eles vão ajudar os de Amadora, por isso todos os outros vao ter que esperar eles analisarem desde FEVEREIRO DE 2022 ate marco de 2023.
estou completamente angustiada com esta situação ... tendo em conta que possivelmente podemos esperar mais um ano
@Luciapedrp
Se olhar bem a tabela, o Artigo 6º nº 1 maiores andou de março de 23 (planilha de outubro/25) para dezembro de 23 (planilha de novembro/25), ou seja, em 1 mês, progrediu quase 8 meses (março/23 a dez/23)
Eles incluíram mais uma linha na planilha com os redistribuídos da CRC Amadora.
Fiz uma planilha considerando todas tabelas que encontrei aqui no fórum, desde dezembro de 2024 até novembro de 2025. Alguns artigos progrediram muito mais que outros como podem ver.
Acredito que em algum momento, os artigos que estão "parados na análise" podem dar um salto no tempo.
Obrigado @viniciusvidas para o gráfico. Conforme o processo para o visto 1C via Consular (Maiores), meu pedido, submetido em março de 2025, será analisado em agosto ou setembro de 2026.😥
Eu diria que estas tabelas são atualizadas sem qualquer periodicidade padrão. Atualizam-se os dados quando dá na telha e, com isso, às vezes parece que há estagnação, às vezes parece que há um salto repentino.
De toda a incompetência que conhecemos do Estado Português em relação à gestão dos processos de cidadania, a que mais me espanha, disparado, é a inexistência de um sistema INFORMATIZADO que gere estes dados. Ora, se (como tão propalado pelo governo) houve a informatização dos processos; se agora os assentos são emitidos eletronicamente (finalmente, convenhamos), com mais meia-dúzia de linhas de código é possível exportar as informações atualizadas sobre que data está sendo decidida para cada uma das vias de solicitação de cidadania. Era possível ter até mesmo um placar ao vivo e, indo mais longe, uma estimativa, quando se consulta seu próprio processo, de tempo para a conclusão, considerando a média de andamento dos últimos meses e a quantidade de processos que faltam ser analisados para chegar ao da pessoa.
Enfim, é impressionante, de fato.
@BrunoPegorelli
Sim bruno, tens razão . Nem reparei que meteram 2 tabelas com o mesmo artigo..
ainda assim é ridiculo dizerem que ja estão em dezembro de 2023 ( porque acredito que metade dessas processos não estão finalizados) o meu por exemplo é de 02/2023 e ainda não foi concluido!!! Disseram para aguardar mais um tempo.. quase a dar 3 anos
Pessoal, minha mãe fez o pedido da minha irmã na CRC Lisboa no dia 13/11/2025 (artigo 6.2), e de acordo com a tabela apresentada pelo @viniciusvidas , estão a ser analisados processos da 2 quinzena de novembro de 2025, é normal isso acontecer? como devo proceder? envio um email a perguntar o pq do processo não está em analise?
Alguma informação do ACP? Obrigado.
@fabiojunior chego a conclusão que o @andrelas tem razão, essas tabelas ai.. é só coisa para iludir o povo, elas não estão totalmente certas.. como é possível eles em 1 mês analisaram 8 meses de processo..
nas tabelas do @BrunoPegorelli da para perceber que antigamente os processos quase nem andavam, agora estão muito rápido, mas nao estão a ficar concluídos. o exemplo é o @hajapaciencia que era um processo de dezembro de 2022 e so o mês passado ficou concluído. o meu é de fevereiro de 2023 ainda nao esta ... e nem tem previsão, e visto que ja passaram por ele agora nao tenho como acompanhar o estado dele.. enfim. vamos aguardar pacientemente
fora que conheço este processo de um amigo, que meteu na amadora e ja recebeu, apesar de constar que o processo finalizou em Agosto de 2025 ele recebeu o documento em Abril ... eles é que depois alteram as datas.. tb fizeram isso no meu. então so prova que essas tabelas deles não estão totalmente certa..
É o que venho dizendo. Pessoal leva muito a sério essas tabelas das conservatórias. Por exemplo que os processos de união de facto estão andando mais rápido que os de casamento. O meu é artigo 3.3 e consta como análise concluída e para decisão desde setembro. Teve processos submetidos depois do meu que já foram concluídos por algum motivo. Não é o meu caso. Não necessariamente eles estão finalizando rapidamente os processos. Não dá nem pra confiar se de fato a análise foi finalizada.
@Rodrigo_Miranda concordo. O meu pedido é pelo artigo 1.C maior desde o ano passado em Lisboa. Entreguei tudo pronto e organizado e o atendimento durou menos de 10 minutos. A pessoa que atendeu-me ainda verificou cada documento, a autenticidade e os laços sanguíneos no sistema antes de submeter o processo. Recebi a senha na hora. Já vi alguns casos de processos pelo mesmo artigo que entraram na mesma semana que eu e já concluíram, vi um caso que entrou 1 mês depois e outros que entraram meses antes e já concluíram. Mas também vejo casos de pessoas à espera desde 2023...
É triste mas a verdade é que desde que deixaram de analisar por grupos para cada artigo, e decidiram juntar todos os processos numa suposta ordem de chegada enviando os processos de maneira aleatória para os conservadores, essas tabelas deixaram de fazer sentido, porque a ordem de chegada cai por terra quando conservadores têm ritmos diferentes para analisar, ou processos que demorariam menos tempo para analisar ficam presos porque a frente existem 100 pedidos que dependem de analises externas e essas mesmas analises demoram uma eternidade.
Por exemplo: de 2 processos que entrariam dia 10 de setembro de 2023. Por causa do atual procedimento, 1 processo é capaz de terminar em setembro de 2024 e o outro processo do mesmo dia termina em setembro de 2025, independentemente do artigo. Além de ineficiente e injusto, torna essas tabelas de análises mensais completamente inúteis e sem sentido porque entra em contradição com o atual procedimento de análise.
Desordem e falta de vontade política para organizar as instituições são a causa desses atrasos todos. A anos que está assim e não querem saber.
Obg pela informação @Luciapedrp
Para se ter noção o meu processo é de março de 2022. Art. 1C. Até agora nada........ estagnaram um mês antes do meu e está assim parado a uns 8 meses.
Boa noite. Solicito um esclarecimento. Fiz meu processo por inscrição em um cartório aqui em Portugal que foi enviado para Lisboa em Outubro 23. Meu caso é um Artigo 1, Número 1, Alínea C (Inscrição) e pelo andamento da tabela foi analisado em novembro. Até agora não recebi nada. Sabe quanto tempo eles demoram a enviar algum comunicado?
Nao entendon pq um processo que entrou 3 dias antes do meu como exemplo da Lucia que entrou dia 10/10/2025 e foi concluido em 05/08/2025 e o meu entrou dia 13/10/2025 e nem em analise esta, isso è uma falta de competencia deles e eu na vdd ja nao sei mas oque fazer sao tantos anos esperando meu avô que è o portugues ja ate faleceu e quando entramos com o processo ele estava vivo eu realmente nao sei oque fazer e nao entendo como pode ser tao burocratico
Eu também acredito que as tabelas não são precisas, porém servem como referência, principalmente nos processos via consular. No meu caso e no de muitos que fizeram via Consulado, infelizmente são a única fonte de informação, pois não recebemos senha para acompanhar o andamento do processo.
@MiraiAx também não entendo o motivo da estagnação nesse caso. Realmente é um processo simples, não deveria ter essa morosidade. Falta transparência sobre os critérios de análise.
@D_Carreiro espero que seja antes, porém se continuar nesse ritmo, será por aí mesmo. Acredito que o meu processo será analisado em 19 ou 20 meses, após ser recebido em Lisboa. Chegou em julho de 2024 e provavelmente será analisado em fevereiro ou março de 2026.